目前巖溶隧道中確定安全巖盤厚度的研究文獻很少,而且沒有統一的設計理論和方法,如何合理地確定安全距離是個十分復雜的技術難題。通過運用工程地質、水文地質、巖體力學和數值模擬等綜合方法,確定安全巖盤厚度與巖體強度、水壓力、洞室斷面尺寸的關系。
一、安全巖盤厚度工程類比法
安全巖盤厚度與巖體完整程度、水壓力、洞室斷面尺寸等密切相關,雖然目前國內外尚無統一計算方法,可借用《鐵路隧道設計規范》注漿墻允許抗剪強度計算:
d=P·D/(4τ) (6-20)
式中:d、P、D、τ——分別為安全巖盤厚度(m);
P——水壓力(MPa);
D——洞室斷面等效直徑(m);
τ——巖體允許抗剪強度。
根據《鐵路隧道設計規范》(TB10003—2005)Ⅳ級圍巖巖體允許抗剪強度為0.72MPa,Ⅱ~Ⅲ級圍巖巖體允許抗剪強度為3.80~1.51MPa。隧道正洞斷面等效直徑為8.7m,經計算得安全巖盤厚度估算表(表6-8)。
表6-8安全巖盤厚度表


圖6-47極限剪切強度公式模型簡化平面圖
二、安全巖盤厚度極限剪切強度算法
考慮安全巖盤臨界失穩時達到其極限抗剪強度,剪切面為隧道斷面向溶腔的延伸面(圖6-47),則有:
P×S=[τ]×L×t (6-21)
式中:t——止水巖盤厚度(m);
P——水壓力(MPa);
S——開挖斷面面積(m2);
τ——巖體抗剪強度(MPa)。
因此,安全巖盤厚度可表示為:
t=
(6-22)
在不同的隧道類型和不同的巖體完整程度基礎上,用式(6-22)可計算得出不同水壓力下的安全巖盤厚度值。
另外,根據莫爾庫侖強度理論,巖體的抗剪強度為:
τ=c+σtanφ (6-23)
σ為巖體的正應力,但實際計算中很難簡單地得到其值。假定安全巖盤臨界失穩時為壓剪破壞,而巖盤可視為一厚板,此時將巖盤破壞視為單軸壓縮破壞,即此時的巖盤正應力為巖體的單軸抗壓強度,因此,采用式(6-23)進行計算時可取σ為巖體單軸抗壓強度σm c。
三、安全巖盤厚度橢圓板力學模型算法
如將鐵路隧道斷面簡化為橢圓形,則當隧道與溶腔正交,安全巖盤較薄時,則隧道與溶腔的相互關系可簡化為周邊固支橢圓板力學模型,如圖6-48、圖6-49所示。

圖6-48周邊固支橢圓板計算圖

圖6-49周邊固支橢圓板模型剖面示意圖
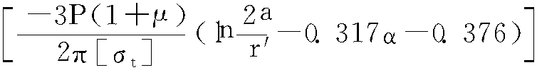
此時,橢圓形安全巖盤受均布荷載。由于結構的復雜性,其應力應變分析很復雜,橢圓板中心處的應力公式的近似解為:
σ=
(ln
-0.317α-0.376)(μ=0.25時) (6-24)
式中:α——短軸與長軸之比,即α=a/b;
P——傳遞到頂板的總豎向荷載;
r′ ——當量半徑,當量半徑取決于板厚h,Westergaard提供了當量半徑的一個近似計算式:
當r<0.5h時,r′=
-0.675h;
當r>0.5h時,r′=r。
通過以上的分析,當巖盤的邊界條件符合周邊固定的橢圓板力學模型時,根據荷載狀態以及巖體的最大允許拉應力值,即可由公式反推安全巖盤厚度,巖盤厚度近似解為:
h=
(6-25)
四、簡化力學模型計算方法對比分析
為對上述各種安全巖盤厚度的計算方法進行綜合對比分析,分別對同一隧道不同圍巖和溶腔條件下的安全巖盤厚度進行計算,并分析其計算結果。選擇BQ巖體分級體系,選取不同巖體級別對應的巖體力學指標。方法①為極限剪切強度計算公式,方法②為橢圓板計算模型。計算結果如表6-9所示。
單純從計算結果看,可得出以下結論:
免責聲明:本網站所刊載信息,不代表本站觀點。所轉載內容之原創性、真實性、完整性、及時性本站不作任何保證或承諾,請讀者僅作參考并自行核實。










































